Giới hạn của dãy số

Thứ ba - 15/03/2016 07:00
Giới hạn của dãy số. Biễu diễn các số hạng của dãy số trên trục số. Giới hạn hữu hạn. Giới hạn vô hạn.
Biễu diễn một dãy số trên trục số. 

Bài toán 1. 
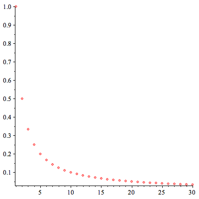
Ta biễu diển các phần tử của dãy ${a_n} = \frac{1}{n}$ trên hệ toạ độ. Lần lượt cho $n$ nhận các giá trị $1, 2,..,30$ ta được bảng gía trị và sự biểu diễn như sau 
 
Bảng giá trị  Biễu diễn trên trục số 

Khi $n$ càng lớn thì $u_n$ càng gần $0$, gần bao nhiêu cũng được nến $n$ đủ lớn. Lúc này ta có thể nói dãy $u_n$ càng tiến về $0$ khi $n$ cang lớn, hay số $0$ là giới hạn của dãy $u_n$. Ta viết $\lim \frac{1}{n} = 0.^{[1]}$

Bài toán 2. Bây giờ ta biểu diễn dãy ${u_n} = {2^n}$ trên hệ toạ độ. Ta lần lượt cho $n$ nhận các giá trị $ 1,2,...,10 $. Ta được sự biểu diễn sau đây 

Khi cho $n$ nhận các giá trị càng lớn thì các phần tử $u_n$ tương ứng càng lớn, lớn bao nhiêu cũng được nếu $n$ đủ lớn. Lúc này ta có thể nói giới hạn của dãy $u_n$ là dương vô cùng, ký hiệu $ + \infty $. Ta viết $\lim {2^n} =  + \infty .$

Ở hai bài toán trên, các phần tử của dãy $u_n$ luôn không âm. Do đó các dấu chấm đỏ $\circ $ biểu diễn cho các phần tử này luôn nằm phía trên trục hoành. Bây giờ ta xét một trường hợp mà các phần tử của dãy $\left( {{u_n}} \right)$ có dấu tuỳ ý. 

Bài toán 3. Ta thử biểu diễn dãy sau ${u_n} = {\left( {\frac{{ - 1}}{2}} \right)^n}$. 
 
Bảng giá trị  Biễu diễn trên trục số 
 
Ở trường hợp này ta thấy mặc dù các giá trị của dãy có khi âm, có khi dương, nhưng chung quy lại vẫn xoay quanh số $0$; và càng gần số $0$, gần bao nhiêu cũng được miễn sao $n$ đủ lớn. Trong trường hợp này ta cũng nói giới hạn của dãy ${u_n} = {\left( {\frac{{ - 1}}{2}} \right)^n}$ là số $0$. Ta viết $\lim {\left( {\frac{{ - 1}}{2}} \right)^n} = 0.$

Bài toán 4. Bây giờ ta xem dãy $\left( {{u_n}} \right)$ được cho bởi công thức tổng quát ${u_n} = {\left( { - 2} \right)^n}$ có giới hạn là bao nhiêu ?
 

Nếu $n$ chẵn, tức $n = 2k,$ với $k \in \mathbb{N} $ thì dãy viết lại là ${u_{2k}} = {\left( { - 2} \right)^{2k}} = {4^k}$. Ta có thể hiểu đây là dãy con của dãy $u_n$. Dãy này lớn bao nhiêu cũng được miễn sao $k$ đủ lớn, các phần tử của dãy được biểu diễn bởi dấu chấm $\circ $ phía trên trục hoành. Như vậy ta nhận được một dãy con của $u_n$ là $u_{2k}$ có giới hạn  $\lim {u_{2k}} = \lim {4^k} =  + \infty .$

Nếu $n$ lẻ, tức $n = 2l+1$, với $l \in \mathbb{N} $ thì dãy được viết lại ${u_{2l + 1}} = {\left( { - 2} \right)^{2l + 1}} =  - 2 \cdot {\left( { - 2} \right)^{2l}} =  - 2 \cdot {4^l}.$ Dãy này mang dấu âm, và có thể nhỏ bao nhiêu cũng được nếu $l$ đủ lớn, các phần tử được biểu diễn bỡi dấu chấm $\circ $ phía dưới trục hoành. Vì thế ta có thể hiểu rằng ta đã chọn được một dãy con của $u_n$ là dãy $u_{2l+1}$ có giới hạn âm vô cùng. Ta viết $\lim {u_{2l + 1}} =  - 2 \cdot \lim {4^l} =  - \infty .$

Như vậy ta đã chọn được hai dãy con của dãy $u_n$ có giới hạn khác nhau. Trong trường hợp này ta kết luận giới hạn của dãy $u_n$ không tồn tại. 

Bình luận 1. Những bài toán trên cho ta một hình ảnh trực quan về giới hạn của dãy số. Và ta nên nhớ rằng giới hạn của dãy có thể hữu hạn, có thể là vô hạn $(+ \infty\hbox{ hoặc }- \infty)$, và cũng có thể giới hạn không tồn tại. 
 
Người ta đã chứng minh được rằng $$\begin{array}{l} \left( 1 \right)\;\;\;\;\;\;\;\;\lim \frac{1}{{{n^k}}} = 0\\ \left( 2 \right)\;\;\;\;\;\;\;\;\lim {q^n} = 0,\hbox{ nếu }\left| q \right| < 1 \end{array}$$ với mọi $k$ nguyên dương. 

Ví dụ 1.               $\lim \frac{1}{{{n^2}}} = 0,\;\;\;\;\;\;\;\;\;\lim \frac{1}{{{n^4}}} = 0$.
                           $\lim {\left( {\frac{2}{3}} \right)^n} = 0;\;\;\;\;\;\;\;\;\;\lim {3^n} =  + \infty $.


Mệnh đề sau đây là quy tắc dùng để tính giới hạn
 
Mệnh đề: Với các dãy $(u_n)$ và $(v_n)$ và $C$ là hằng số 
$\left( i \right)\;\;\;\;\lim \left( {{u_n} \pm {v_n}} \right) = \lim {u_n} \pm \lim {v_n};$ $\left( {iii} \right)\;\;\;\lim \left( {C{u_n}} \right) = C\lim {u_n};$
$\left( {ii} \right)\;\;\;\;\lim \left( {{u_n} \cdot {v_n}} \right) = \lim {u_n} \cdot \lim {v_n};$ $\left( {iv} \right)\;\;\;\lim \frac{{{u_n}}}{{{v_n}}} = \frac{{\lim {u_n}}}{{\lim {v_n}}},\lim {v_n} \ne 0.$
Với giả thiết là tất cả các giới hạn đều tồn tại.

Ví dụ 2. $$\eqalign{   & \left( a \right)\;\;\;\;\lim \left( {{1 \over {{n^2}}} + {1 \over {{n^4}}}} \right) = \lim {1 \over {{n^2}}} + \lim {1 \over {{n^4}}} = 0 + 0 = 0.  \cr   & \left( b \right)\;\;\;\;\lim \left( {{1 \over {{n^2}}} + 1} \right) = \lim {1 \over {{n^2}}} + \lim 1 = 0 + 1 = 1.  \cr   & \left( c \right)\;\;\;\;\lim \left( {{1 \over {3{n^2}}}} \right) = {1 \over 3} \cdot \lim {1 \over {{n^2}}} = {1 \over 3} \cdot 0 = 0.  \cr   & \left( d \right)\;\;\;\;\lim \left( {{{3{n^2} - 1} \over {{n^2}}}} \right) = \lim \left( {{{3{n^2}} \over {{n^2}}} - {1 \over {{n^2}}}} \right) = \lim \left( {3 - {1 \over {{n^2}}}} \right) = 3 - \lim {1 \over {{n^2}}} = 3 - 0 = 3. \cr} $$
 
$[1]$    $lim$ là viết tắt của chữ limit trong Tiếng Anh và có nghĩa Tiếng Việt là giới hạn.

Bài tập 

(nhiều bài tập hơn khi đăng ký học tại Trung tâm Cùng học toán)

 

 

Tác giả bài viết: Cùng Học Toán

Tổng số điểm của bài viết là: 0 trong 0 đánh giá

Click để đánh giá bài viết

  Góp ý hoặc một bài toán của Quý học viên hoặc Quý Phụ Huynh

Mã bảo mật   

Những tin mới hơn

Bài viết cùng chuyên mục